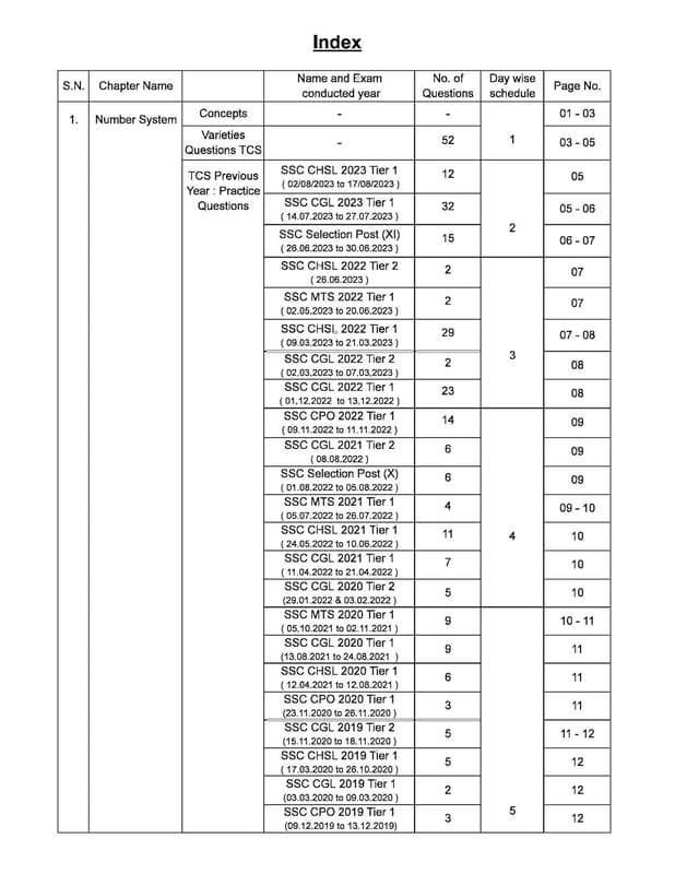
The "Pinnacle English Medium Math Book" is a comprehensive study guide specifically designed for SSC (Secondary School Certificate) students. This book covers all the essential math topics required for the SSC exams, providing clear explanation...
Read More
















