MystoreMystore® is an ONDC connected marketplace built in India for Indian sellers. Mystore is the first ONDC network participant to connect as a Buyer and Seller NP.  You can register as a seller on Mystore and upload your catalogue. You will have a dedicated Seller page (digi-catalog) along with a Unique QR Code for your page that you can market to your buyers. Your catalogue will also appear on the ONDC network through the Mystore Buyer App and other buyer apps catering to related product domains. Mystore provides a comprehensive seller dashboard to manage your products, orders, and payouts. Mystore also facilitates seamless online shopping across categories with its Mystore Buyer App.https://www.mystore.in/s/62ea2c599d1398fa16dbae0a/66defda954ce55002beebf8c/mystore-logo-480x480.png
9th Floor, Tower A, Spaze iTech Park, Sector 49122018Gurgaon DivisionIN
Mystore
9th Floor, Tower A, Spaze iTech Park, Sector 49Gurgaon Division, IN
+918010412412https://www.mystore.in/s/62ea2c599d1398fa16dbae0a/66defda954ce55002beebf8c/mystore-logo-480x480.png"[email protected]
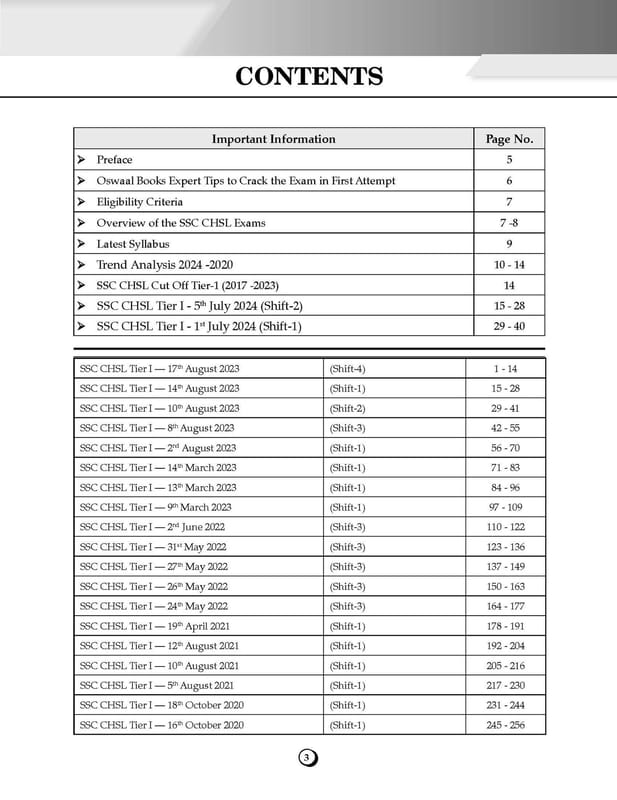
67b43bdce5f8a2779778af2eSSC (Staff Selection Commission)| CHSL Combined Higher Secondary Level (10+2) Tier-1| 27 Previous Solved Papers| Year-wise (2017 to 2024)| For 2025 Exam Oswaal Editorial BoardBenefits of the product:
100% Updated With 2024 Papers Fully Solved
Extensive Practice With 2700+ Questions and Two Practice Papers
Concept Clarity: Learn Key Concepts through Detailed Explanations
Valuable Exam Insights With Hints, Shortcuts & Expert Tips to crack SSC CHSL Tier-1 in the first attempt
100% Exam Readiness With the Latest Previous Years Trend Analysis (2020-2024)
Exclusive Advantage of Oswaal360 Courses and Mock Papers to enrich your learning journey further.
9789362390516
INR250In Stock
Oswaal Books
9362390515

SSC (Staff Selection Commission)| CHSL Combined Higher Secondary Level (10+2) Tier-1| 27 Previous Solved Papers| Year-wise (2017 to 2024)| For 2025 Exam Oswaal Editorial Board

Benefits of the product:
100% Updated With 2024 Papers Fully Solved
Extensive Practice With 2700+ Questions and Two Practice Papers
Concept Clarity: Learn Key Concepts through Detailed Explanations
Valuable Exam Insights Wit...

Read More

Key Attributes

Country of originIndia
Colourwhite
BrandOswaal Books
Net Quantity1 unit
Product Dimensions27L x 20W x 1H cm
Manufacturer or packer nameOswaal Books And Learning Private Limited
View full attributes

Benefits of the product:
100% Updated With 2024 Papers Fully Solved
Extensive Practice With 2700+ Questions and Two Practice Papers
Concept Clarity: Learn Key Concepts through Detailed Explanations
Valuable Exam Insights With Hints, Shortcuts & Expert Tips to crack SSC CHSL Tier-1 in the first attempt
100% Exam Readiness With the Latest Previous Years Trend Analysis (2020-2024)
Exclusive Advantage of Oswaal360 Courses and Mock Papers to enrich your learning journey further.

Country of originIndia
Colourwhite
BrandOswaal Books
Materialpaper
Common nameBooks
Net Quantity1 unit
Weight650 g
Package Dimension1L x 18W x 26H cm
Product Dimensions27L x 20W x 1H cm
Manufacturer or packer nameOswaal Books And Learning Private Limited
Manufacturer or packer address1/11 Sahitya Kunj, M.G. Road, Agra, Uttar Pradesh, India
Manufacturing DateAs per product batch
ISBN9362390515
EAN9789362390516
contact details consumer careOswaal Books and Learning Private Limited, [email protected]