MystoreMystore® is an ONDC connected marketplace built in India for Indian sellers. Mystore is the first ONDC network participant to connect as a Buyer and Seller NP.  You can register as a seller on Mystore and upload your catalogue. You will have a dedicated Seller page (digi-catalog) along with a Unique QR Code for your page that you can market to your buyers. Your catalogue will also appear on the ONDC network through the Mystore Buyer App and other buyer apps catering to related product domains. Mystore provides a comprehensive seller dashboard to manage your products, orders, and payouts. Mystore also facilitates seamless online shopping across categories with its Mystore Buyer App.https://www.mystore.in/s/62ea2c599d1398fa16dbae0a/g/69c1500f9e0c28d76402f751/mystore-logo-480x480.png
9th Floor, Tower A, Spaze iTech Park, Sector 49122018Gurgaon DivisionIN
Mystore
9th Floor, Tower A, Spaze iTech Park, Sector 49Gurgaon Division, IN
+918010412412https://www.mystore.in/s/62ea2c599d1398fa16dbae0a/g/69c1500f9e0c28d76402f751/mystore-logo-480x480.png"[email protected]
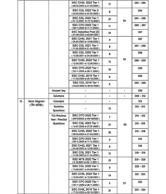
690d30e36c462efa9cc3aaa8SSC Reasoning 7200 TCS MCQ Chapter Wise 6th Edition Hindi MediumSSC Reasoning 7200 TCS MCQ Chapter Wise 6th Edition Hindi MediumSDL146077871_S386bc
INR489In Stock
Pinnacle Publications

SSC Reasoning 7200 TCS MCQ Chapter Wise 6th Edition Hindi Medium

SSC Reasoning 7200 TCS MCQ Chapter Wise 6th Edition Hindi Medium

colour

Key Attributes

Country of originIndia
brandPinnacle Publications
colour#FFFFFF
View full attributes

SSC Reasoning 7200 TCS MCQ Chapter Wise 6th Edition Hindi Medium

Country of originIndia
brandPinnacle Publications
colour name#FFFFFF
colour#FFFFFF
cancellableyes
time to ship24 hours
return window7 days
contact details consumer carePinnacle Civil Services,[email protected],9212692126
manufacturer or packer namesee back image
manufacturer or packer addresssee back image
common or generic name of commoditySSC Reasoning 7200 TCS MCQ Chapter Wise 6th Edition Hindi Medium
month year of manufacture packing importNA
imported product country of originIN